Our study investigated methods to accurately measure and predict chronic lesion expansion in multiple sclerosis (MS) using imaging data collected over 1-2 years, focusing on markers that don’t require longitudinal lesion segmentation.
Key Findings:
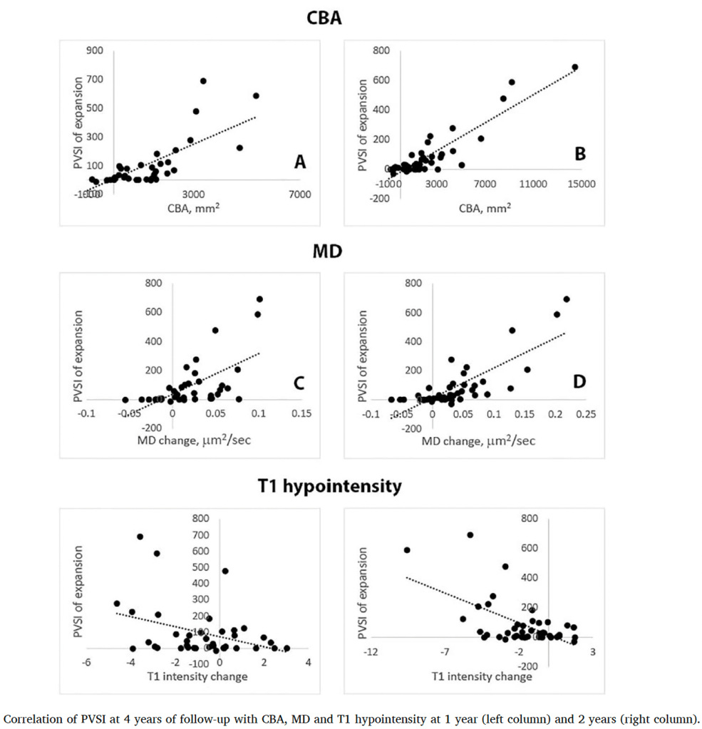
- Central Brain Atrophy (CBA): Measured over 2 years, CBA accurately predicts 4-year lesion expansion with 94% sensitivity and 85% specificity
- Mean Diffusivity (MD): Changes in MD within chronic lesions strongly correlate with future expansion, providing 81% sensitivity and specificity
- Progressive Volume/Severity Index: We developed this novel measure combining lesion volume changes and tissue damage severity to standardize assessment across patients

Clinical Implications:
- CBA offers a reliable early indicator of future lesion expansion without requiring complex lesion segmentation
- The combination of multiple markers provides comprehensive assessment of disease progression
- These findings enable shorter study periods for clinical trials evaluating new treatments
Why It Matters:
Early identification of patients likely to develop expanding lesions could inform treatment decisions and improve outcomes. Our markers provide practical tools for monitoring disease activity in clinical settings and trials.

