Demyelination as a Key Driver in Multiple Sclerosis Lesion Expansion
Using our in-house single-streamline diffusion tensor imaging analysis, we investigated the relationship between chronic lesion expansion and tissue damage patterns in relapsing-remitting multiple sclerosis (RRMS), focusing on the role of demyelination and axonal injury.

Key Findings:
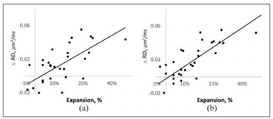
- Sequential Tissue Damage: Our analysis revealed that demyelination likely represents the initial step in chronic lesion expansion, preceding significant axonal damage
- Differential Impact: We found that the rate of myelin damage in expanding lesions was twice that of axonal injury in surrounding tissue, suggesting demyelination as the primary early mechanism
- Predictive Markers: Higher levels of myelin damage in periplaque white matter strongly predicted subsequent lesion expansion, while axonal damage markers showed weaker correlation
- Expanding vs Stable Lesions: Expanding lesions showed significantly higher rates of ongoing demyelination compared to stable lesions, particularly in periplaque areas

Clinical Implications:
- These findings suggest that targeting early demyelination could be crucial for preventing lesion expansion
- The identification of demyelination as an initial step provides a potential window for therapeutic intervention
- Our results support the development of remyelinating therapies as a strategy to prevent associated neurodegeneration
Why It Matters:
Understanding the sequence of tissue damage in expanding MS lesions helps identify optimal timing for therapeutic interventions. By demonstrating that demyelination precedes significant axonal loss, this research suggests that early treatment targeting myelin protection or repair could help prevent the cascade of tissue damage that leads to progressive disability.

